Építész Matematika II.
2010 tavasz
Ráth Balázs fogadóórája: szerda délután 2,
H épület V. emelet, 3a vagy 3c szoba
- Tantárgy követelményei: doc
- A tantárgyfelelős honlapja:
Barabás Béla
(ütemterv, követelmények, gyakorló feladatsor)
- Gyakorló feladatok:
Székely Balázs honlapja
- Jegyzet:
Ádám Katalin honlapja
- Komplex számok jegyzet: pdf
- Építőmérnök komplex számok gyakorló feladatok: pdf,
megoldások: pdf
ZH-ra gyakoroljatok, erről a feladatsorról: 2/f), 3/e), 4/b),c), 5/b)
- Barabás Béla sajátértékes jegyzete: pdf
- Szélely Balázs sajátértékes
feladatai, megoldásokkal: pdf
- Órán erről a feladatsorról vettük:
2x2-es mátrixok: 2., 5.
3x3-as mátrixok: 1., 11.
- Érdemes még gyakorolni:
3x3-as mátrixok: 3., 7., 10.
- Építőmérnök integrálás gyakorló feladatok:
pdf,
megoldások: pdf
Érdemes erről a feladatsorról gyakorolni: 1/b), 2/c), 3/e), 4/a), 5/b)
- Építőmérnök integrálás gyakorló feladatok, parciális törtekre bontás:
pdf,
megoldások
itt
Erről érdemes gyakorolni: 1/b),c)
- Elsőrendű differenciálegyenletek:
Barabás Béla
elméleti összefoglalója: pdf
Ádám Katalin
elméleti összefoglalója, kidolgozott feladatmegoldásokkal: pdf: egyszerű feladatok, részletes megoldások szétválasztható változójú diff.egyenletek témaköréből!!
Székely Balázs feladatsora, helyenként megoldásokkal:
pdf
Rudas Anna kidolgozott feladatmegoldásai: pdf
- Másodrendű differenciálegyenletek:
Barabás Béla
elméleti összefoglalója, gyakon ezt osztottam ki: pdf
Ádám Katalin
elméleti összefoglalója, kidolgozott feladatmegoldásokkal (13. oldaltól): pdf
- Székely Balázs feladatsora, helyenként megoldásokkal:
pdf
Erről érdemes gyakorolni: 1.1/2, 1.3/3, 2.1/2, 3.2/3, 3.2/4, 3.2/10
- Rudas Anna rengeteg feladat megoldását kidolgozta: pdf
Erről érdemes gyakorolni: 3. feladat, 8. feladat
- A 2. zárthelyi kézzel írt és szkennelt megoldókulcsa:
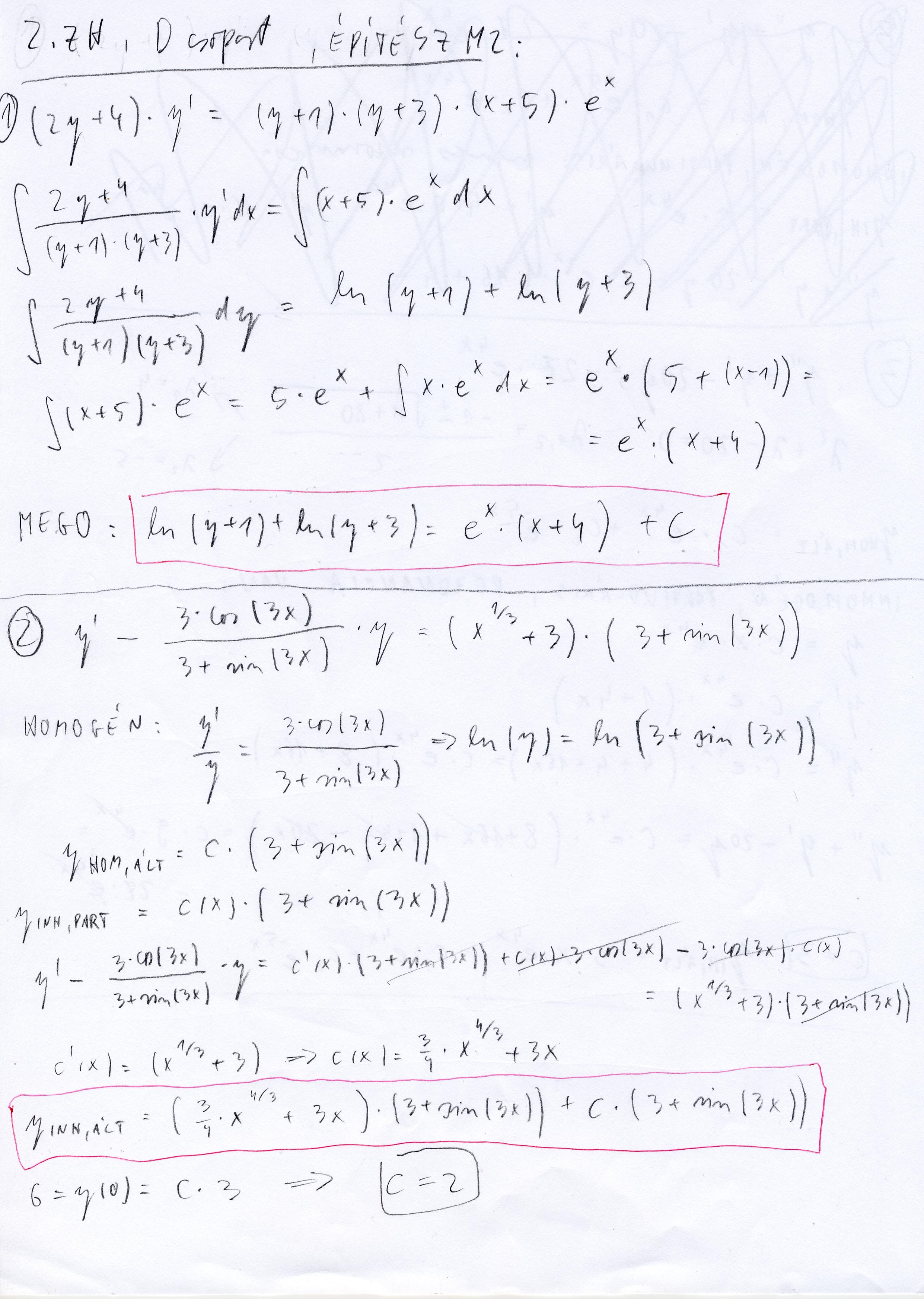
D1
D2
E1
E2
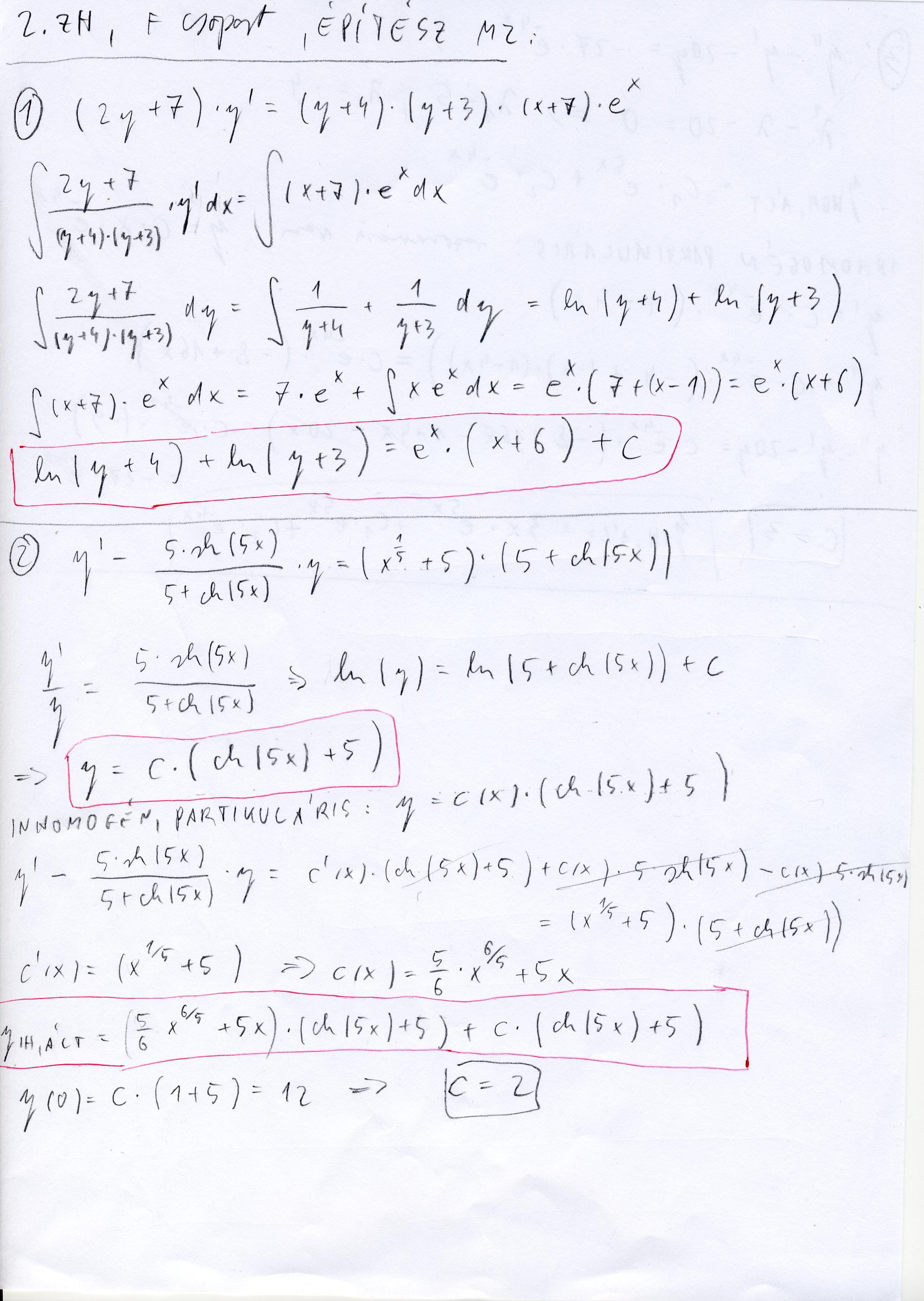
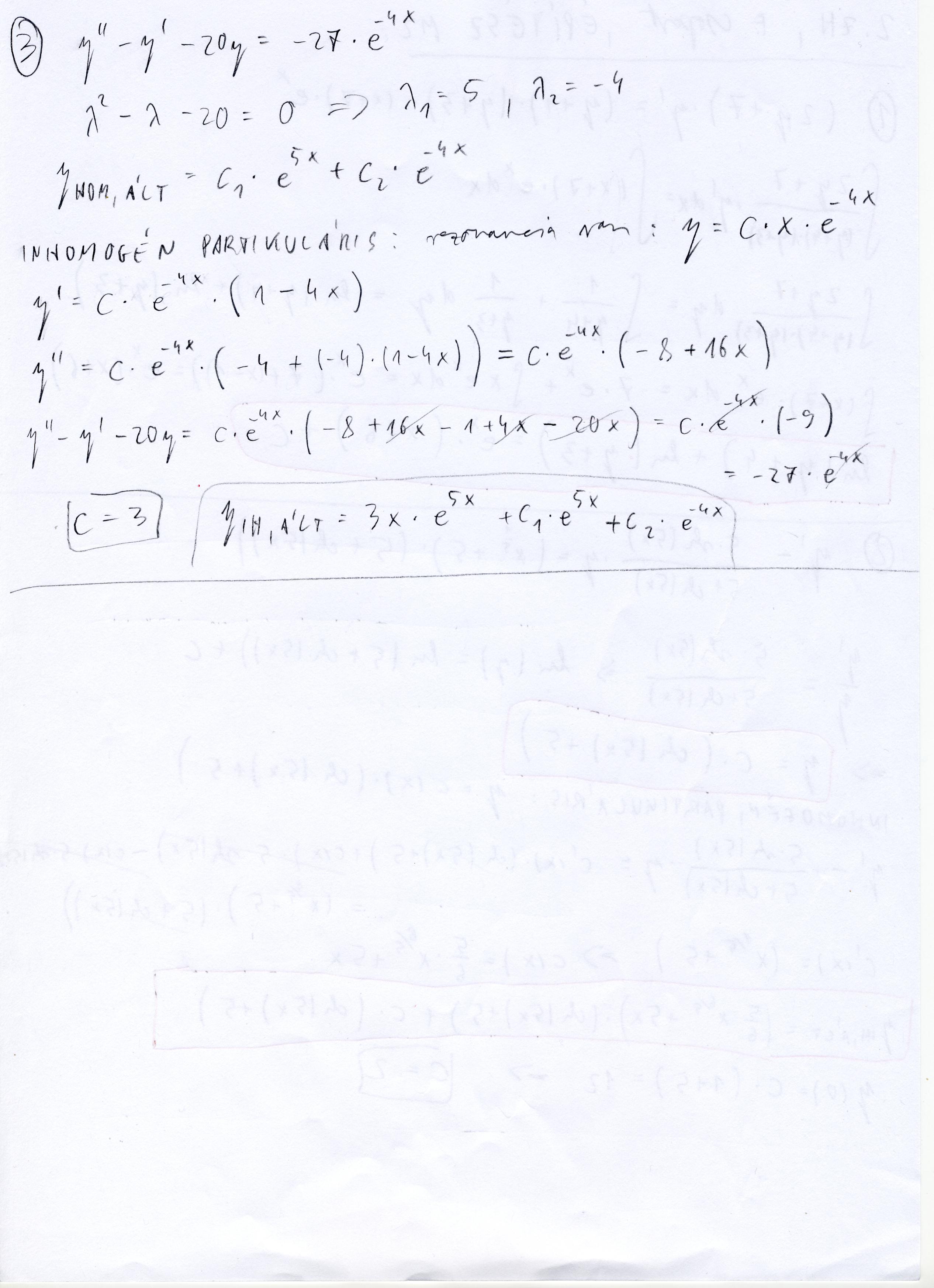
F1
F2
- Kétváltozós függvények differenciálszámítása:
- Barabás Béla
elméleti összefoglalója,: pdf (3. oldal és 4. oldal teteje)
- Ádám Katalin
elméleti összefoglalója, kidolgozott feladatmegoldásokkal: pdf (7. oldaltól 13. oldalig)
- Rudas Anna-féle kidolgozott feladatmegoldások: pdf (parciális deriválás, iránymenti deriválás, érintősík)
- Kétváltozós függvények szélsőértékszámítása:
- Barabás Béla
elméleti összefoglalója,: pdf ( 4. oldal)
- Rudas Anna-féle kidolgozott feladatmegoldások: pdf (1. feladat, 2. feladat)
- Székely Balázs feladatsora, helyenként megoldásokkal:
pdf (Szélsőértékes feladatok közül a 2. feladat, 8. feladat)
- Kétváltozós függvények integrálszámítása:
- Ádám Katalin
elméleti összefoglalója, kidolgozott feladatmegoldásokkal: pdf (4. oldal közepétől 7. oldal közepéig)
- Rudas Anna-féle kidolgozott feladatmegoldások: pdf
- Differenciálgeometria:
- Barabás Béla
elméleti összefoglalója térgörbékről: pdf (ívhossz, t, b, f, kísérő triéder, simulósík, normálsík, görbület, torzió)
- Ádám Katalin
elméleti összefoglalója térgörbékről, kidolgozott feladatmegoldásokkal: pdf (15. oldal: kisérő triéder, 16-17-edik oldalt érdemes átnézni, 19. oldal alja: egy ívhossz-számítás)
- Barabás Béla
elméleti összefoglalója felületekről: doc (felületi normális, érintősík, felületdarab felszíne)
- Erről a feladatsorról érdemes átnézni: pdf ( 57, 60, 67, 69, 75 )
- A 3. ZH megoldókulcsai, szkennelve: pdf (vannak benne üres oldalak is, azt át kell lapozni)
- Vegyes gyakorló feladatok: pdf
- Szerdai csoport ZH eredményei
- Csütörtöki csoport ZH eredményei