MATH 302, 2014 July-August
Instructor:
Balazs Rath
Final exam solutions
Question 1
,
Question 2
,
Question 3
,
Question 4
,
Question 5
,
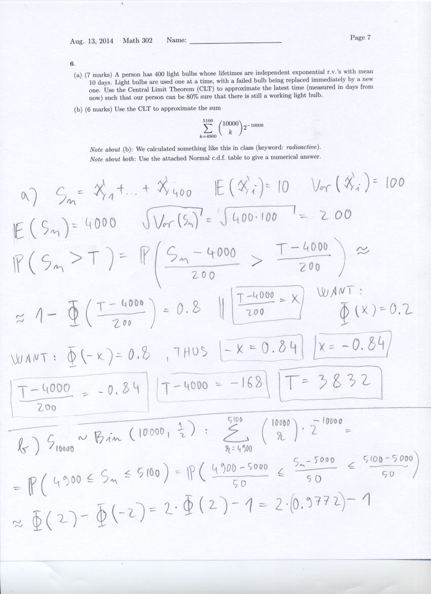
Question 6
,
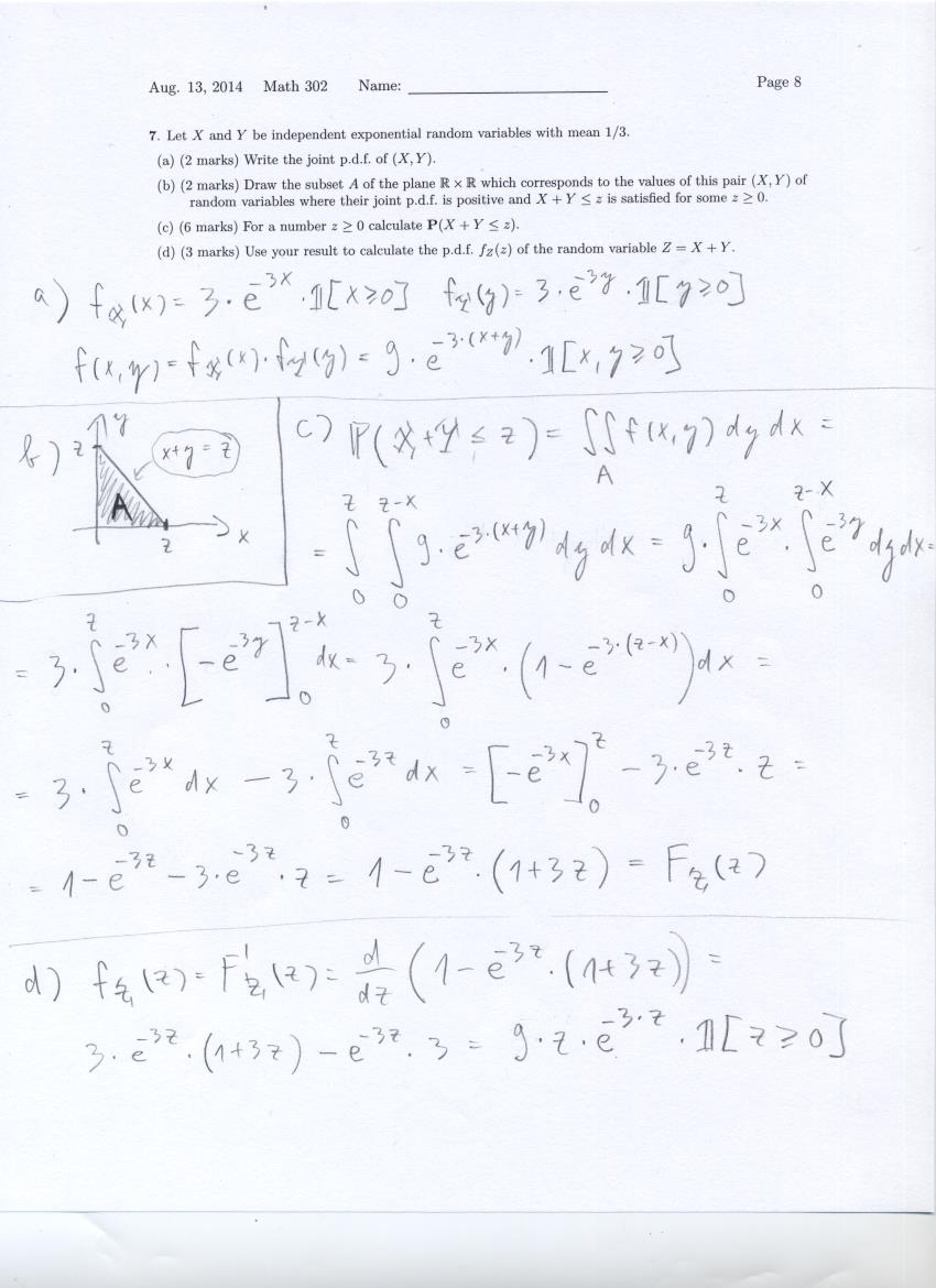
Question 7
,
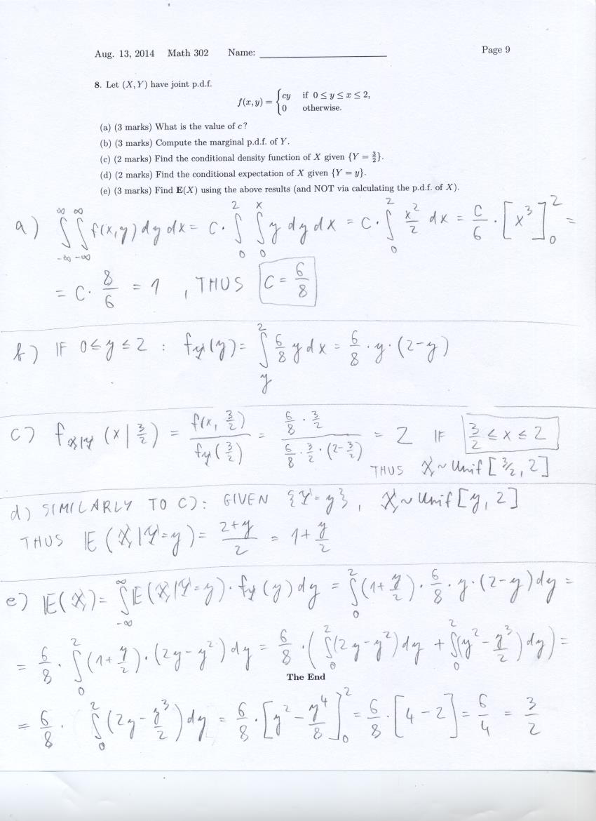
Question 8
.