MATH 302, 2014 July-August
Instructor:
Balazs Rath
Midterm solutions
Question 1
,
Question 2
,
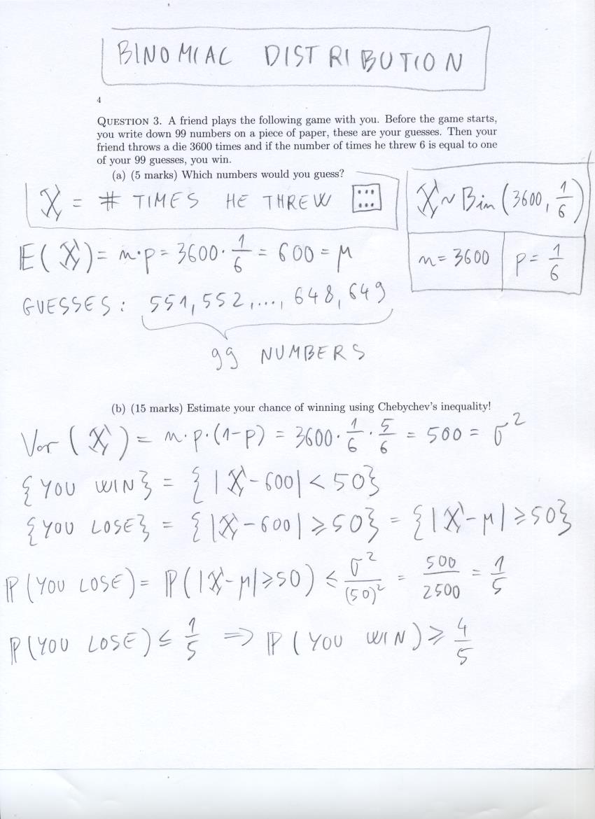
Question 3
,
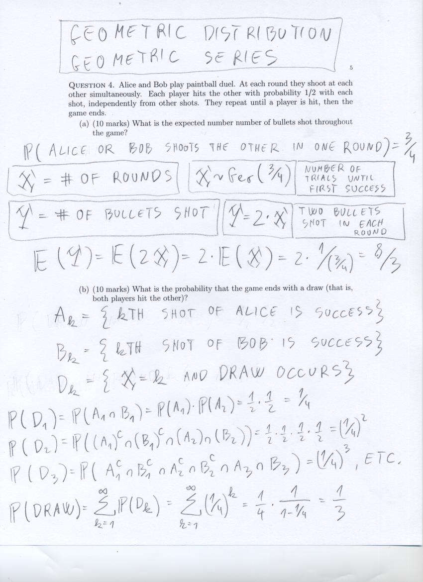
Question 4
,
Question 5
.