MATH 302
2014 July-August
- Instructor: Balazs Rath
My MATH302 lectures are (mostly) based on the
typed MATH302 lecture notes
of my fellow postdoc Tim Hulshof.
My hand-written, scanned lecture notes:
- July 2 (combinatorics: multiplication rule, race horses):
-
page 1, page 2, page 3.
- In Tim's lecture notes : page 2-4.
-
- July 3 (combinatorics: permutations, combinations, divisions, poker):
-
page 4,
page 5,
page 6,
page 7,
page 8,
page 9,
page 10.
- In Tim's lecture notes : page 4-10.
-
- July 4 (combinatorics: multinomial coeeficients, maximum likelihood estimate; axioms of probability: set arithmetic):
-
page 11,
page 12,
page 13,
page 14,
page 15,
page 16,
page 17.
page 18,
page 19,
page 20.
- In Tim's lecture notes : page 10-15.
-
- July 8,9,10,11 (replacement instructors)
- In Tim's lecture notes : page 15-34.
-
- July 15 (gambler's ruin, job applicant choice problem, Simpson's paradox, Monty Hall problem):
-
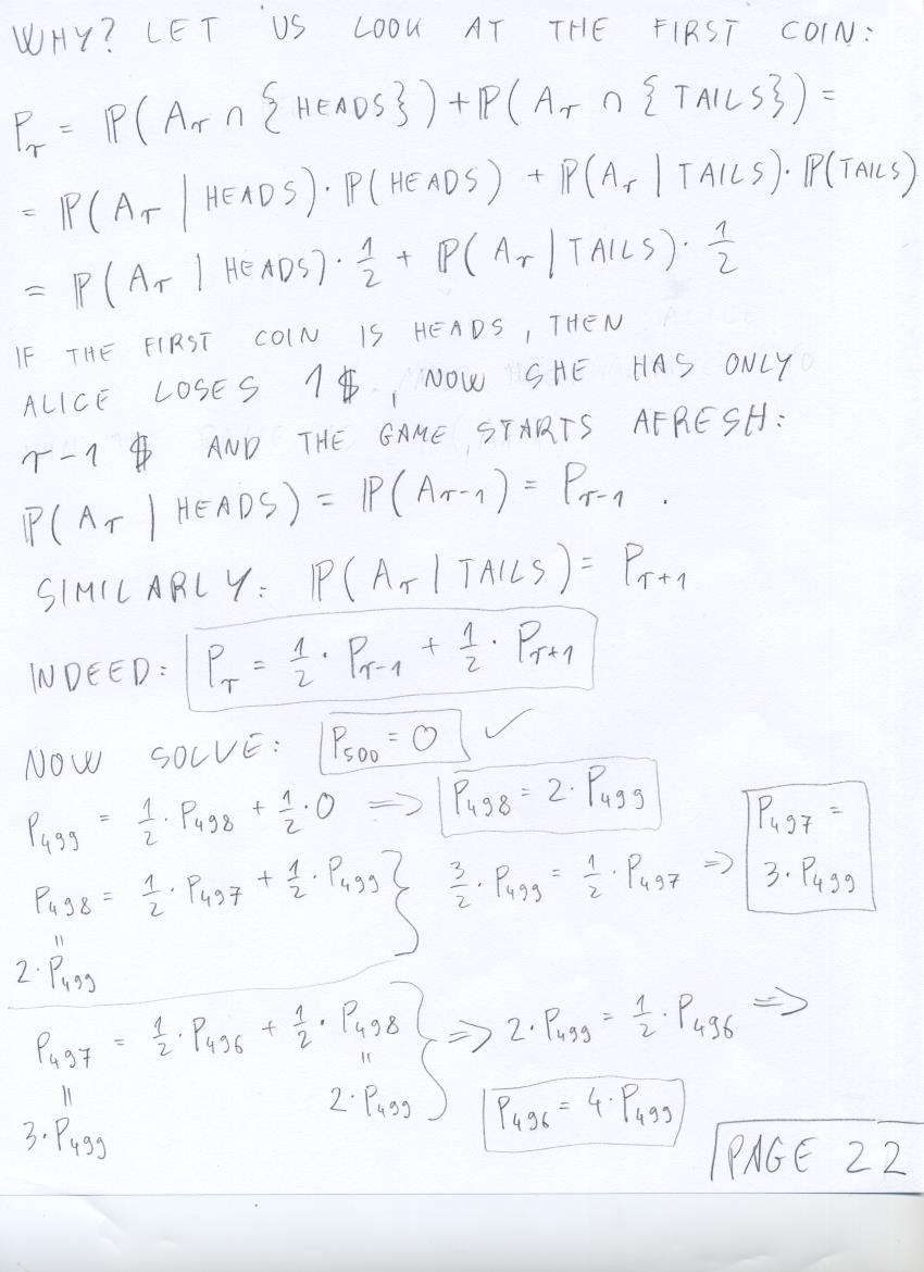
page 21,
page 22,
page 23,
page 24,
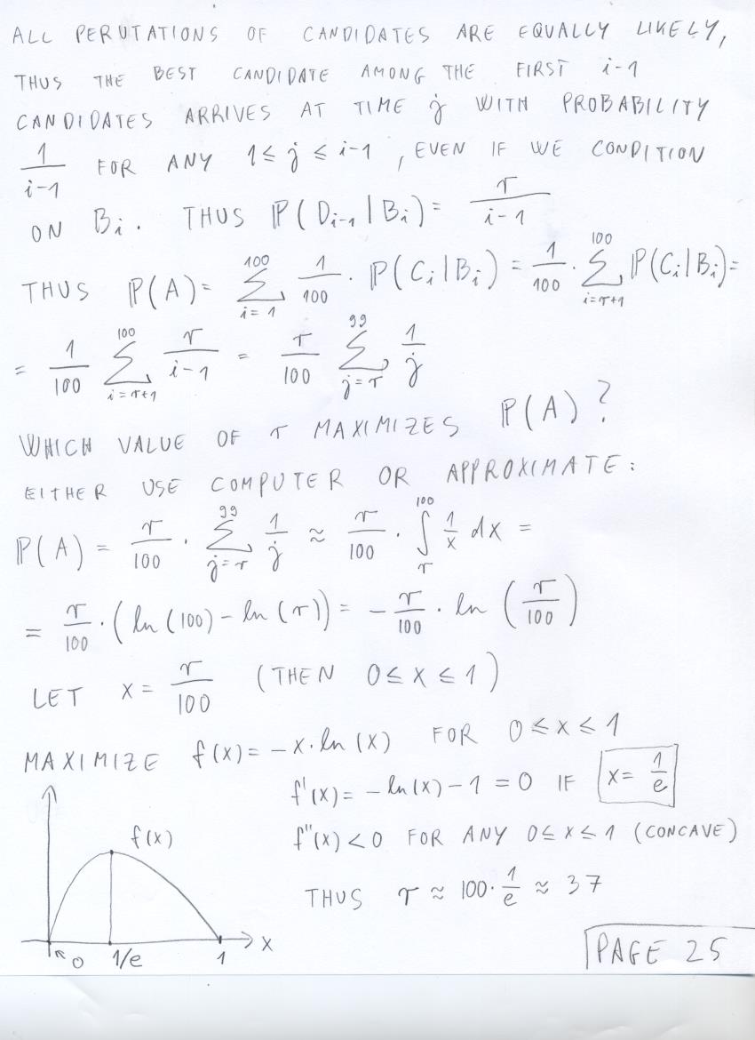
page 25,
page 26,
page 27,
page 28,
- In Tim's lecture notes : page 34-38.
- More info about Simpson's paradox: wiki
- More info about the Monty Hall problem: wiki
- If you want to read more about the talk show host Monty Hall: wiki
-
- July 16 (random variables, indicator, Ber(p), Bin(n,p), Geo(p)):
-
page 29,
page 30,
page 31,
page 32,
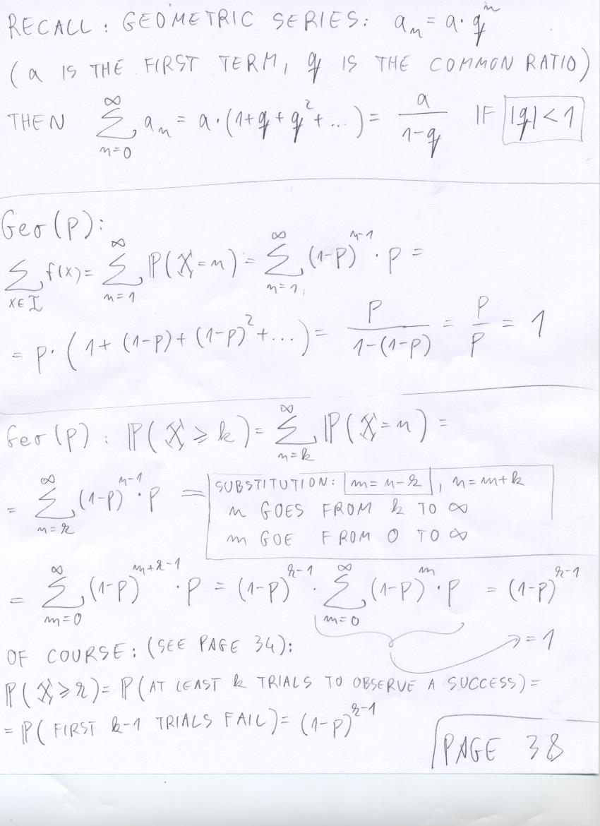
page 33,
page 34.
- In Tim's lecture notes : page 39-40.
-
- July 17 (discrete R.V.'s, total mass of mass function is 1, NBin(r,p), expected value of Geo(p)):
-
page 35,
page 36,
page 37,
page 38,
page 39,
page 40,
page 41,
page 42,
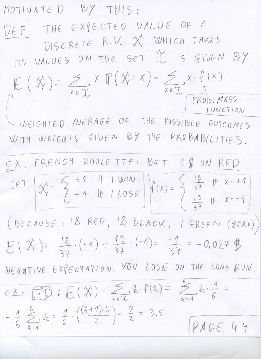
page 43,
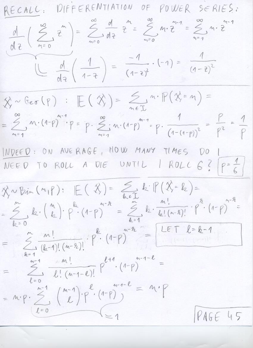
page 44,
page 45.
- In Tim's lecture notes : page 40-46.
-
- July 18 (expected value of Bin(n,p), expected value facts, variance, Chebychev's inequality):
-
page 45,
page 46,
page 47,
page 48,
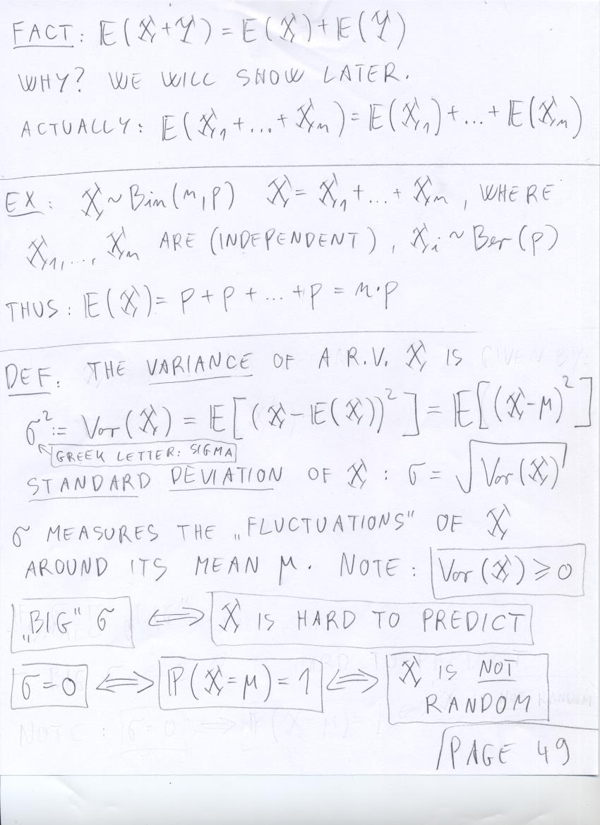
page 49,
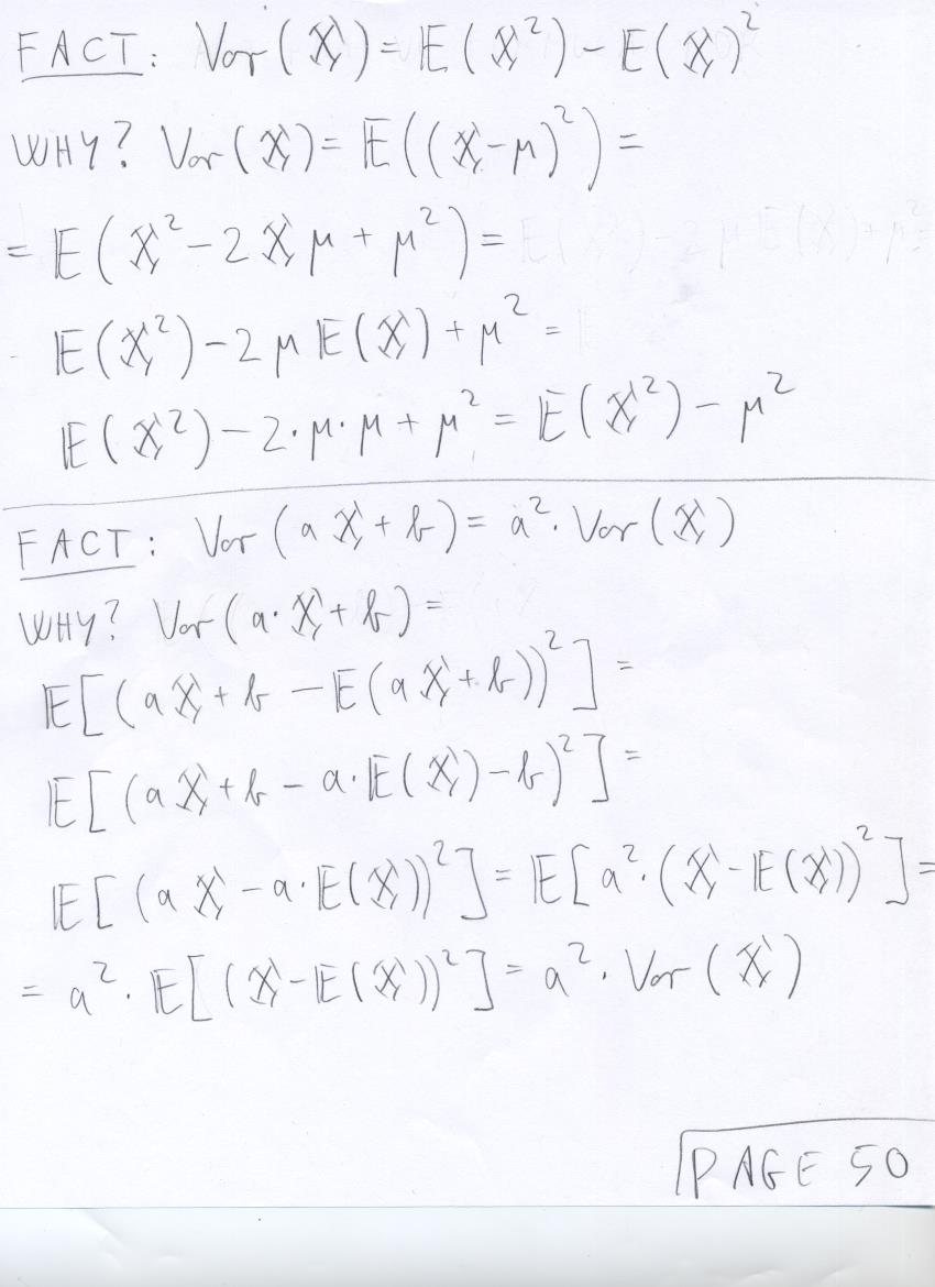
page 50,
page 51,
page 52,
page 53,
page 54.
- In Tim's lecture notes : page 46-52.
-
- July 22 (Variance of Geo(p), Poisson r.v.'s):
-
page 54,
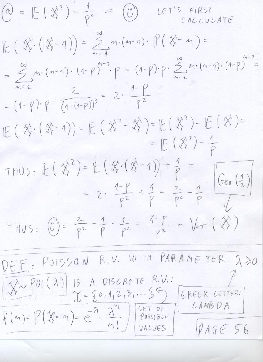
page 55,
page 56,
page 57,
page 58,
page 59,
page 60,
page 61,
page 62.
- In Tim's lecture notes : page 52-57.
- To recall (differentiation of) power series, take a look at the April 2 lecture of my
MATH105 lecture notes
- To recall the Taylor series of e^x, take a look at the April 4 and April 7 lecture of my
MATH105 lecture notes
-
- July 24 (continuous r.v.'s, probability density function, cumulative distribution function, Unif[a,b], Exp(lambda)):
-
page 63,
page 64,
page 65,
page 66,
page 67,
page 68,
page 69,
page 70,
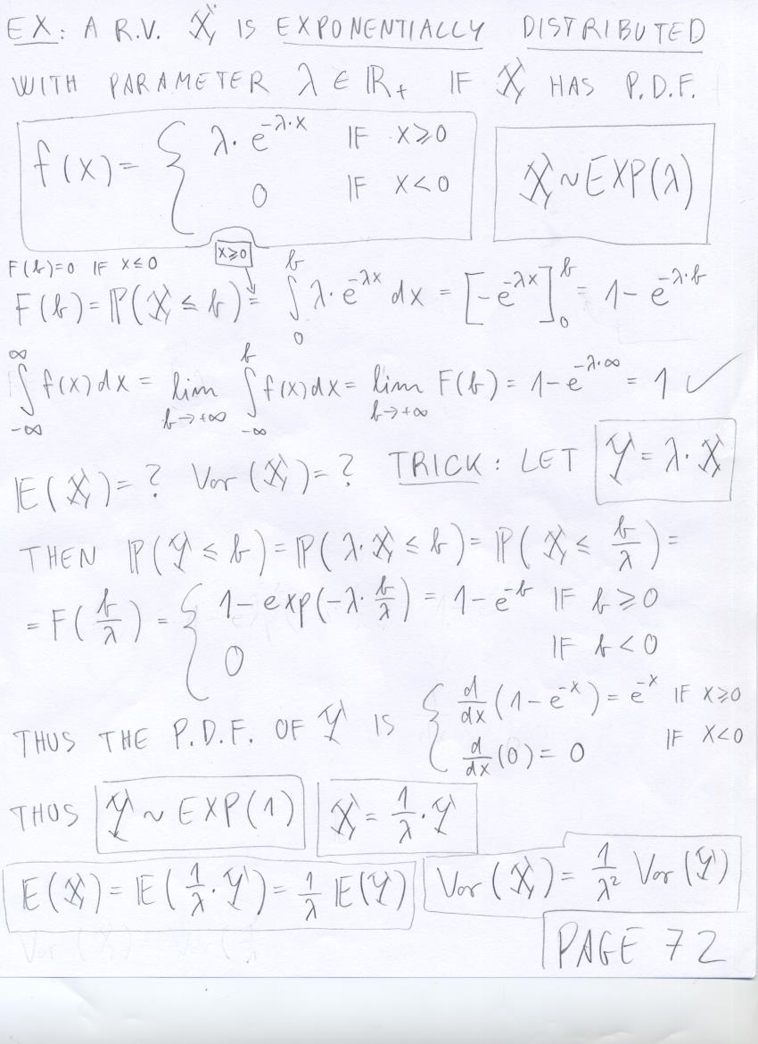
page 71,
page 72.
- In Tim's lecture notes : page 58-64.
- To recall basics of integration, take a look at lectures from January 29 to February 7 of my
MATH105 lecture notes
- In particular, Fundamental Theorem of Calculus: February 3 and February 5 of my
MATH105 lecture notes
-
- July 25 (expected value, variance and memoryless property of Exp(lambda) distribution, normal distribution):
-
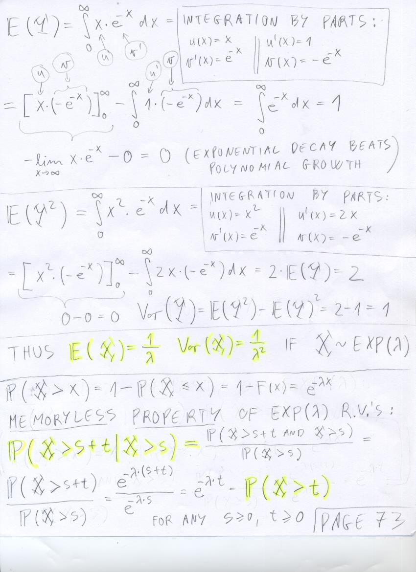
page 72,
page 73,
page 74,
page 75,
page 76,
page 77,
page 78,
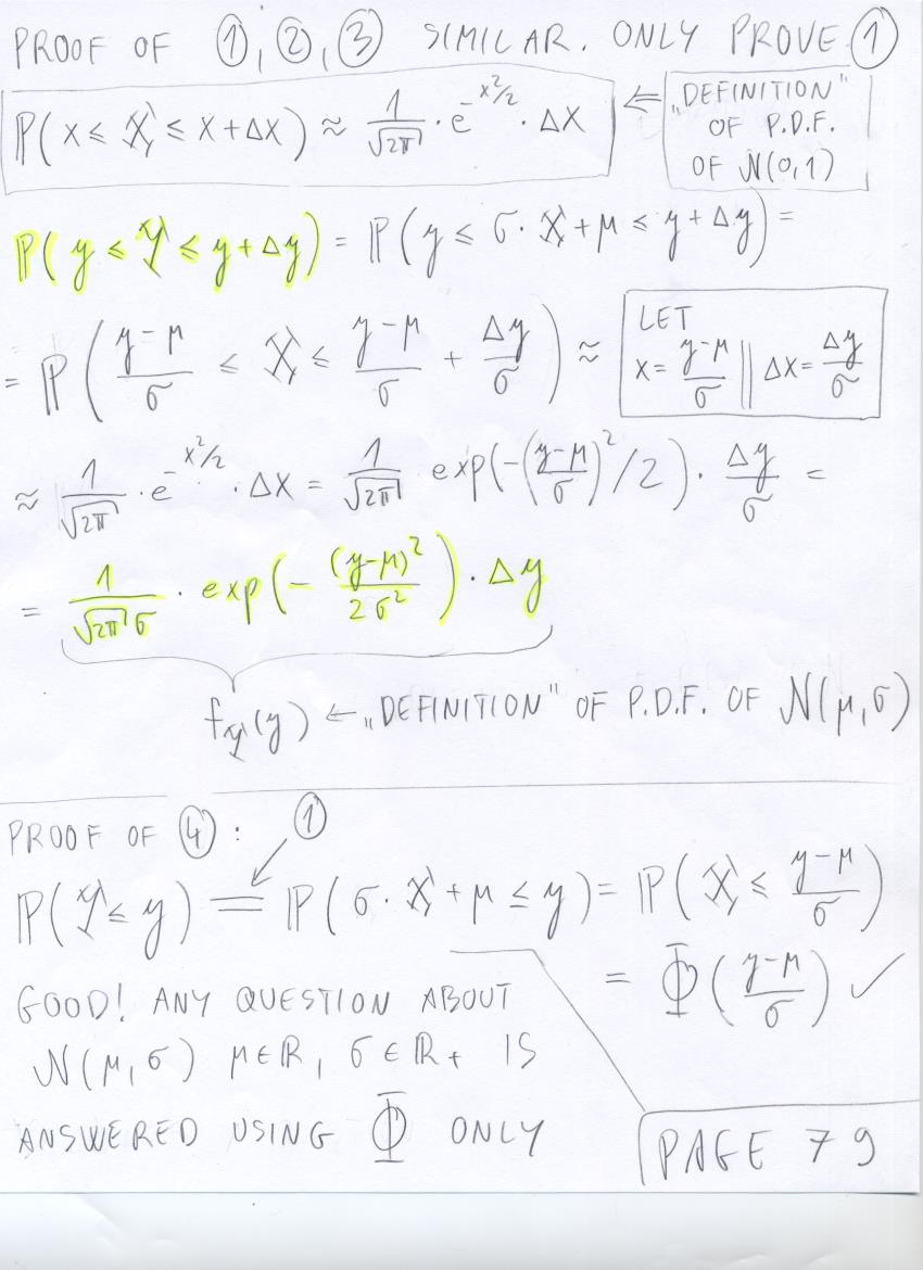
page 79,
page 80.
- In Tim's lecture notes : page 64-73.
-
- July 29 (normal distribution examples, joint p.m.f., joint p.d.f., marginals):
-
exercise handout
page 80,
page 81,
page 82,
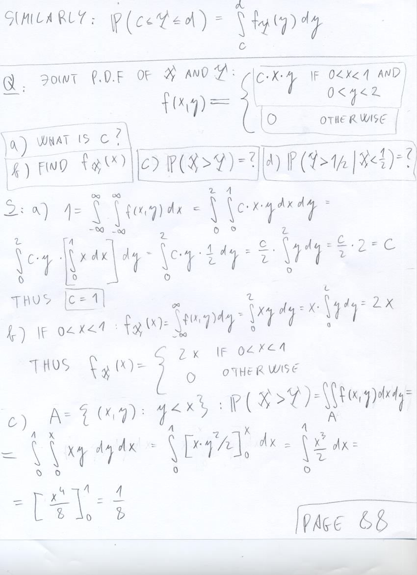
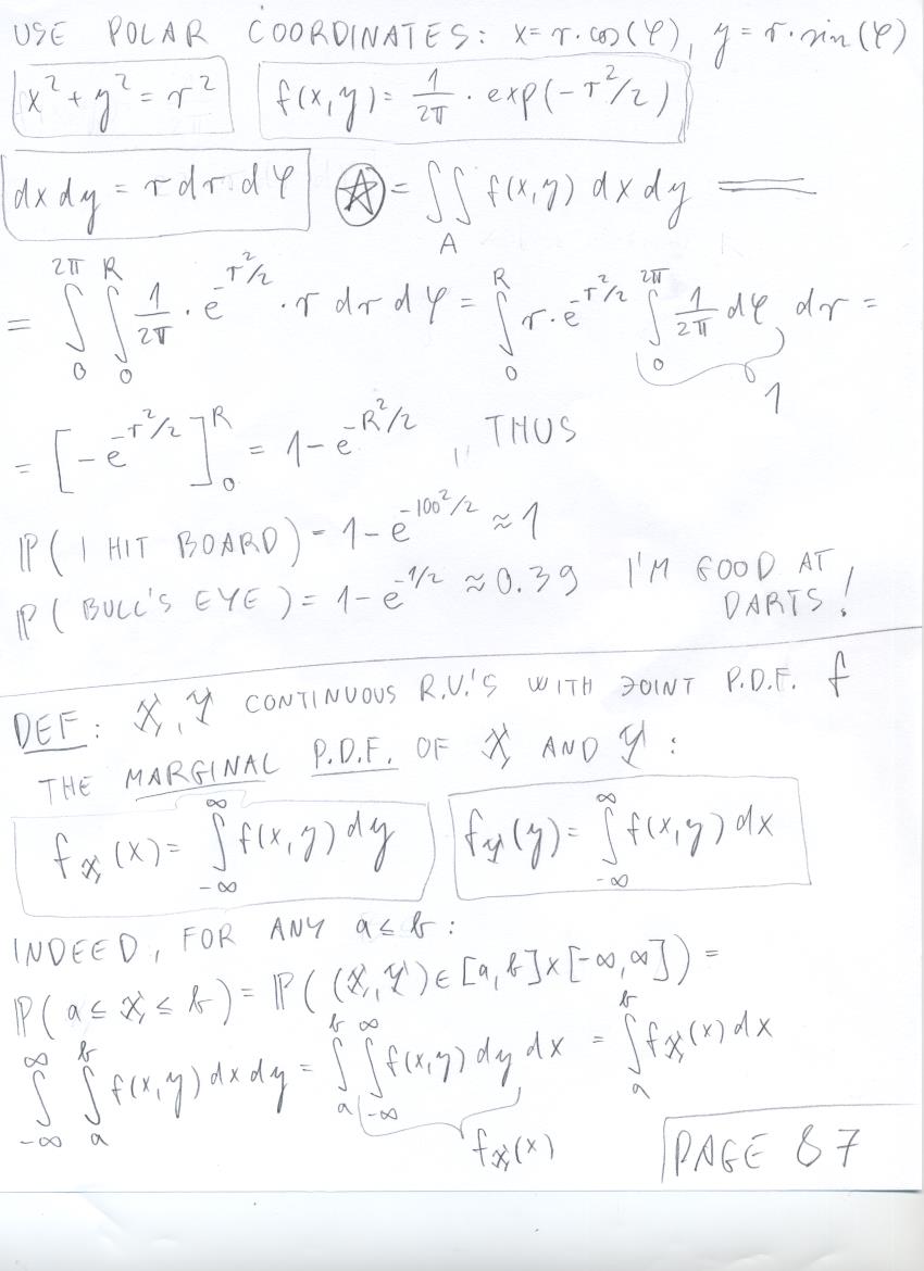
page 83,
page 84,
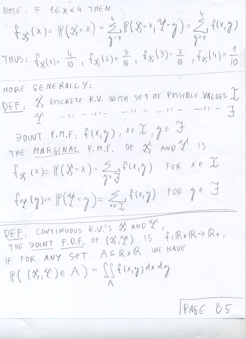
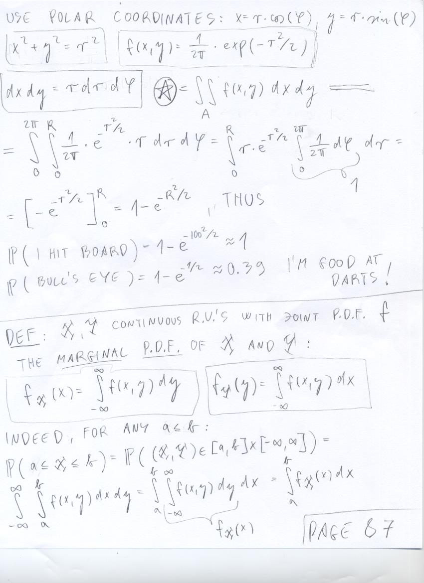
page 85,
page 86,
page 87.
- In Tim's lecture notes : page 73-78.
- To recall basics of double intergrals and polar coordinates, take a look a look at Chapter 17.1, 17.2, and 17.5 of
this book
-
- July 30 (continuous marginals, independence of random variables):
-
page 87,
page 88,
page 89,
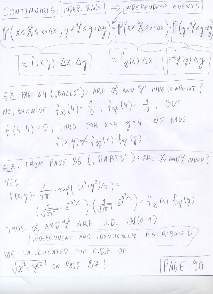
page 90,
page 91.
- In Tim's lecture notes : page 78-80.
-
- July 31 (uniform distribution and areas, covariance, variance of sums of r.v.'s, correlation):
-
page 91,
page 92,
page 93,
page 94,
page 95,
page 96,
page 97,
page 98,
page 99.
- In Tim's lecture notes : page 80-85.
-
- August 1 (convolution, Gamma distribution, convolution of normals, conditional p.m.f. and p.d.f.):
-
page 99,
page 100,
page 101,
page 102,
page 103,
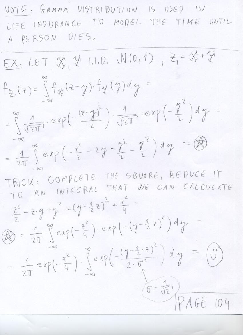
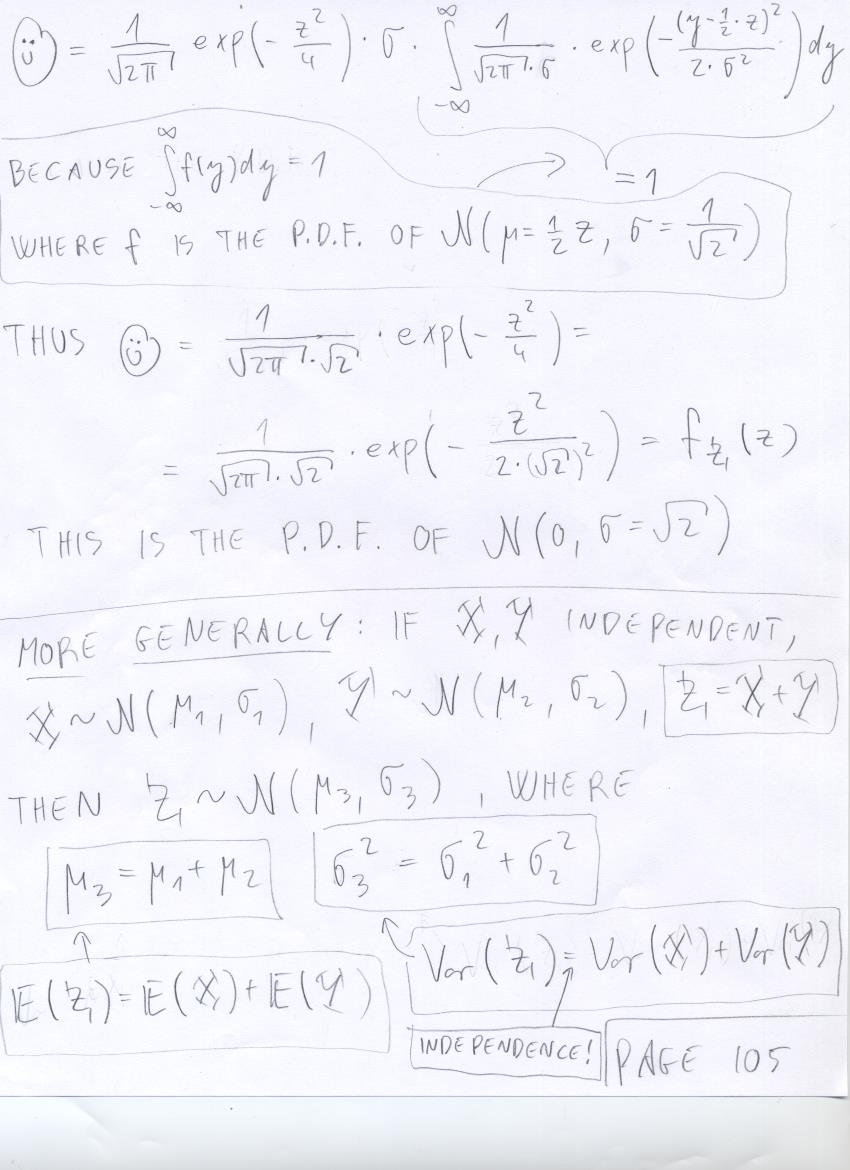
page 104,
page 105,
page 106,
page 107,
page 108.
- In Tim's lecture notes : page 86-93.
-
- August 5 (conditional expectation, least squares estimate, law of large numbers, central limit theorem):
-
page 109,
page 110,
page 111,
page 112,
page 113,
page 114,
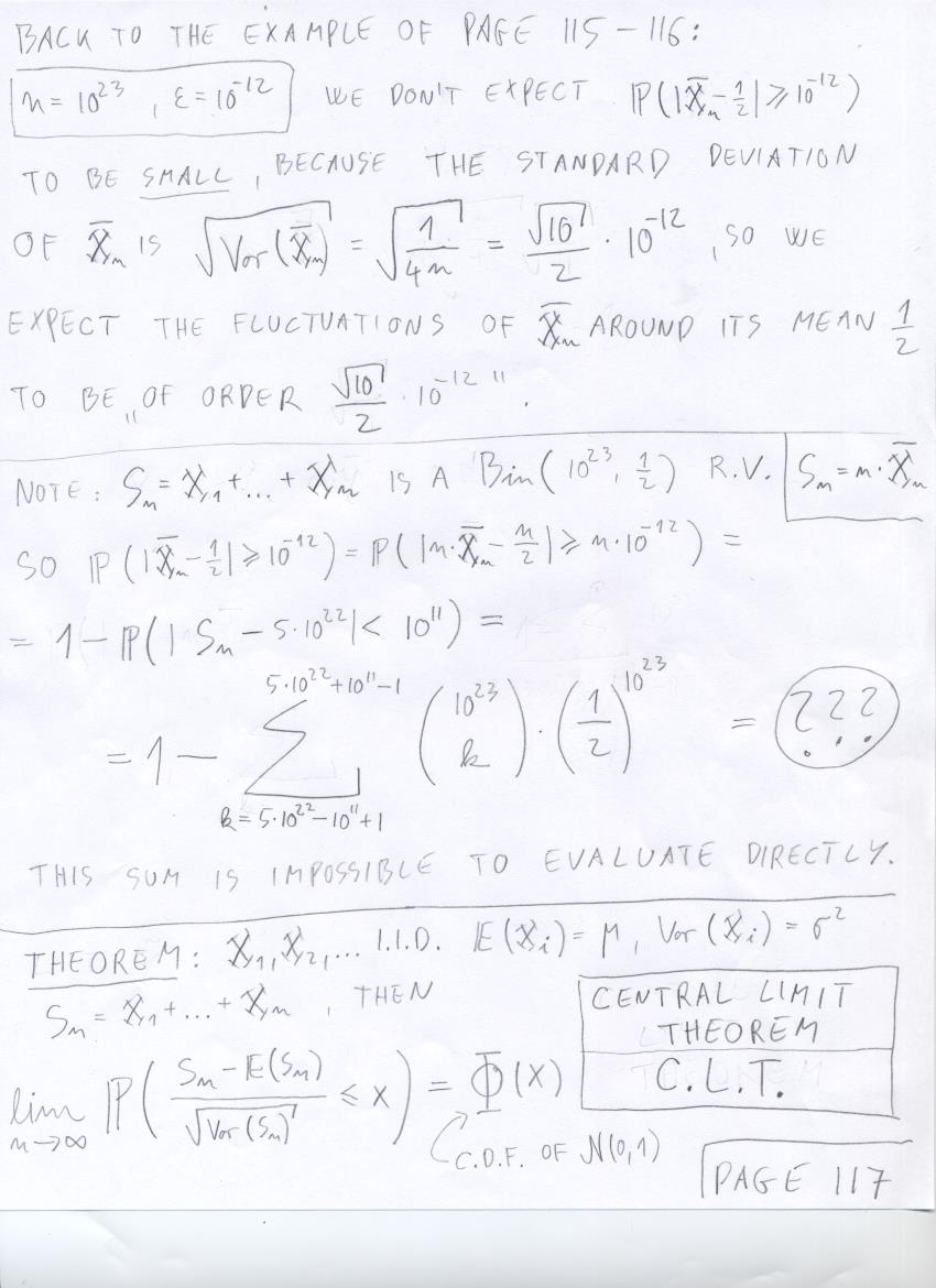
page 115,
page 116,
page 117,
page 118.
- In Tim's lecture notes : page 93-96 and 103-104 and 108.
- About Avogadro's number
-
- August 6 (central limit theorem for sums of uniform, exponential and Poisson variables):
-
page 119,
page 120,
page 121,
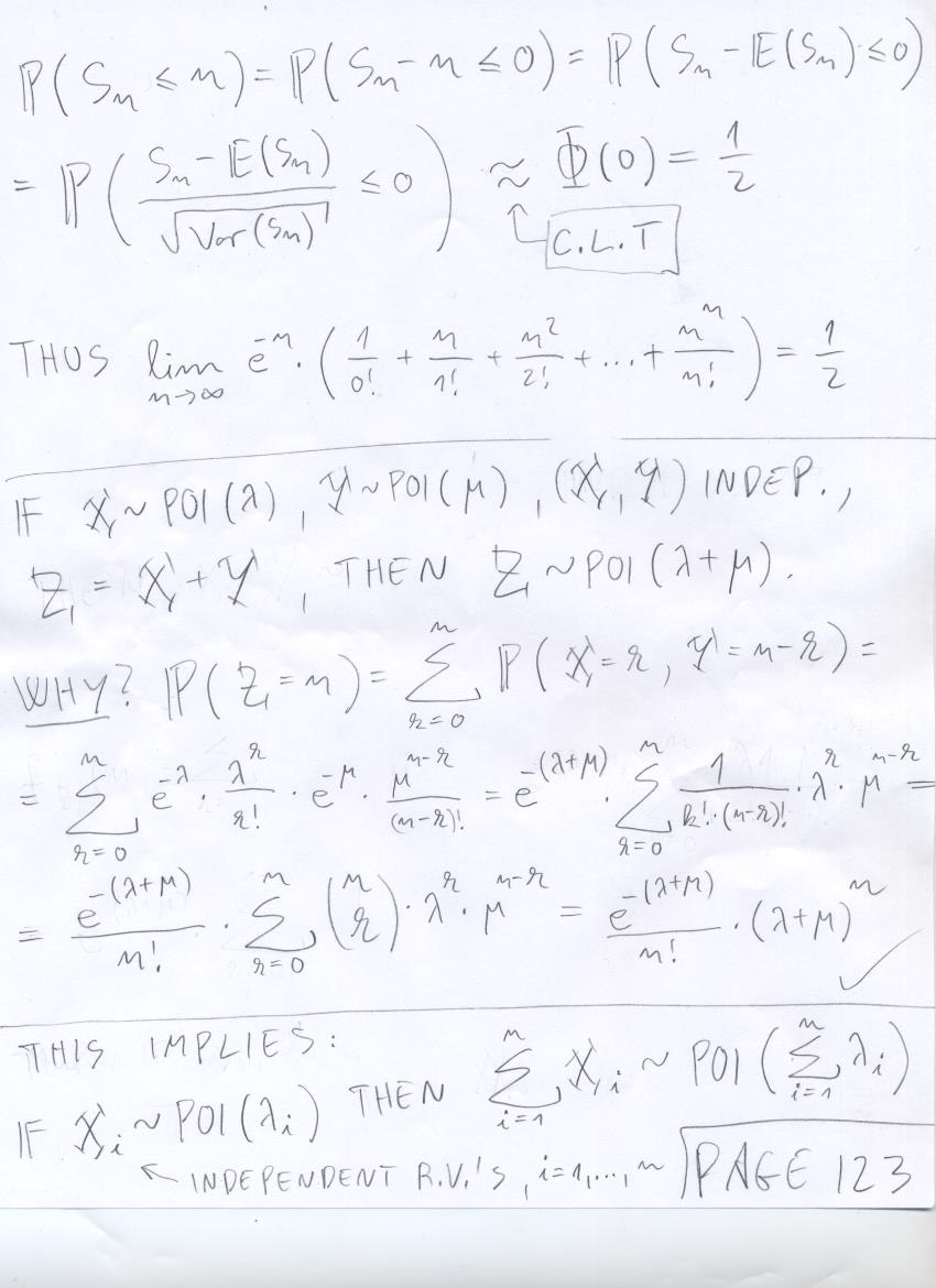
page 122,
page 123.
- About Stirling's formula
- About the convolution of three Unif[0,1] r.v.'s
-
- August 7 (central limit theorem exercises: widgets, airplane overbooking, roulette loss, gravel creation):
-
page 124,
page 125,
page 126,
page 127,
page 128,
page 129,
page 130,
page 131.
- In Tim's lecture notes : page 109-110.
- About the log-normal distribution
-
- August 8 (C.L.T. or Poisson approximation?, C.L.T. example: republicans, Poisson merging and coloring, examples):
-
page 132,
page 133,
page 134,
page 135,
page 136,
page 137,
page 138,
page 139,
page 140,
page 141.
-