Differenciálgeometria


Gyakorló feladatok 2. zh-ra (ps) (pdf)
Gyakorló feladatok 2. zh-ra (ps) (pdf)
Megjegyzem, a második zh-ban aránylag több második alapformás feladat volt.
Elmélet 2. zh-ra (ps) (pdf)
Meusnier tételét nem sikerült igazán jól leírnom.
A gyakorlaton kiosztott segédanyagok. A fájlok gif-ben vannak, darabja kb. 100KB.
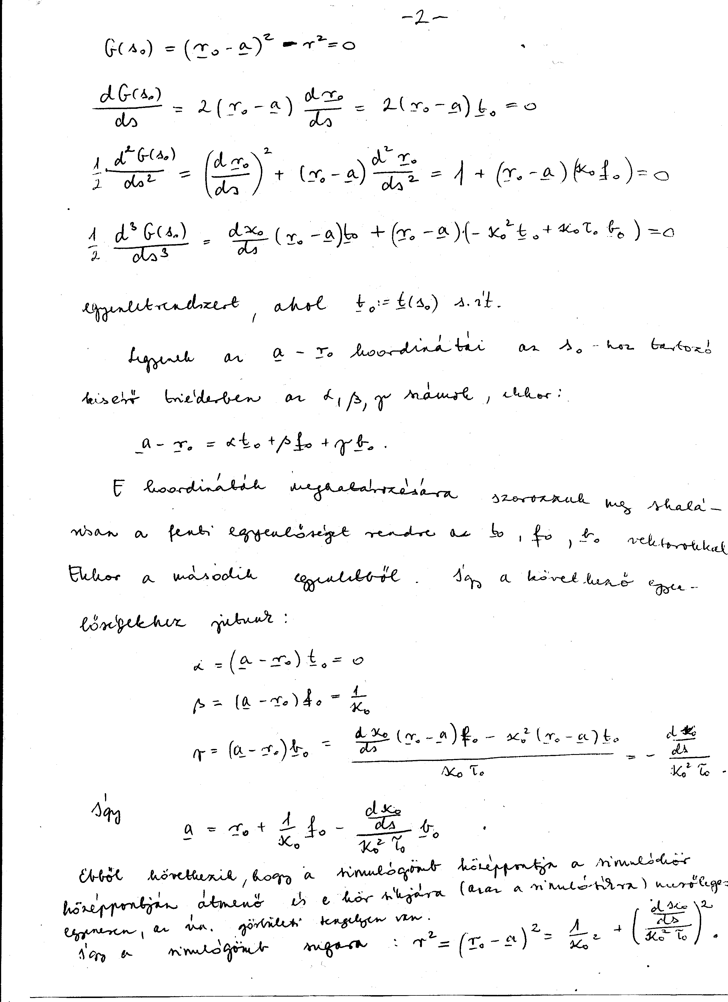
  • 1. oldal (simuló gömb 1)

  • 2. oldal (simuló gömb 2)

  • 3. oldal (simuló kör 1)

  • 4. oldal (simuló kör 2)

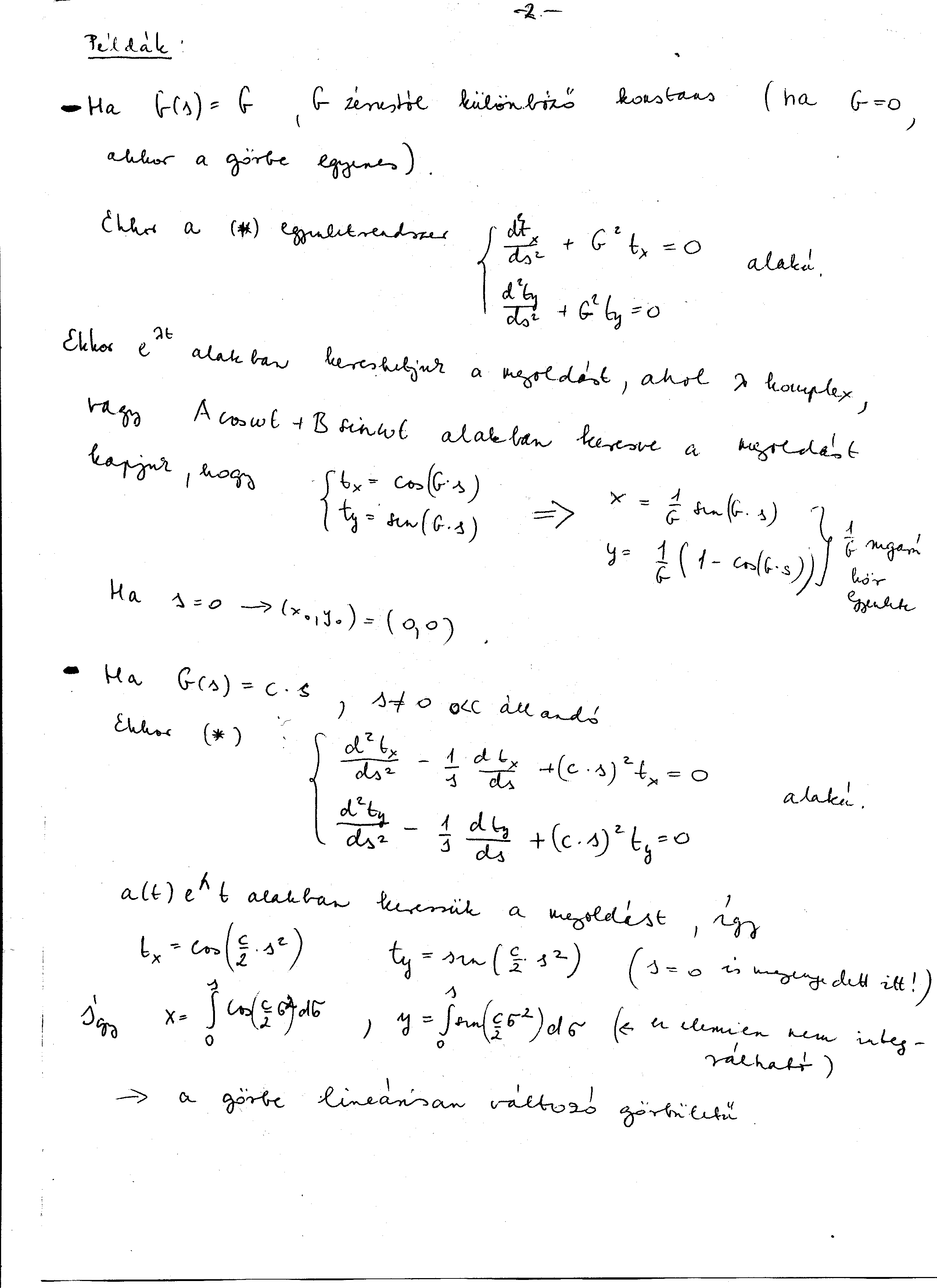
  • 5. oldal (diffegyenlettel adott síkgörbe 1)

  • 6. oldal (diffegyenlettel adott síkgörbe 2)